
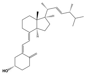
【Name】 : Vitamin D2
【Structural formula】
.jpg)
【Molecular formula】: C28H44O
【CAS code】: 50-14-6
【Properties】: Colorless needle crystal or white crystal powder, odorless and tasteless, Contact with air and water is easy to deteriorate.
【Package】: Medicinal composite membrane, Aluminum can and Carton.